Официальное опубликование правовых актов
ОФИЦИАЛЬНОЕ ОПУБЛИКОВАНИЕ
Приказ Министерства имущественных и земельных отношений Камчатского края от 01.04.2025 № 24-Н
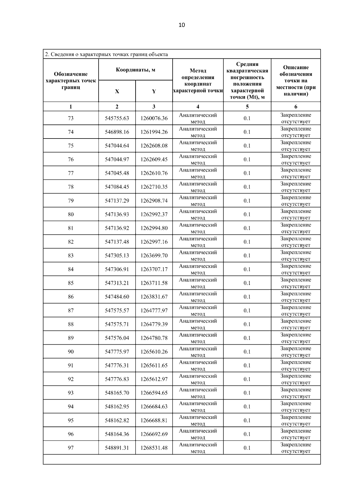
"Об установлении публичного сервитута в целях размещения объекта электросетевого хозяйства регионального значения "Сооружение ВЛЭП 35 кВ от ПС 110/35/10 кВ "Кавалерская" до Сооружения ДЭС-6 п. Усть-Большерецк, со строительством ВЛ-35 кВ и реконструкцией ПС 110-35-10 кВ "Кавалерская" и Сооружения ДЭС-6 п. Усть-Большерецк"
(Зарегистрирован 01.04.2025 № 24-Н)
Номер опубликования: 4101202504010001
Дата опубликования: 01.04.2025
Страница №10 из 20:
Увеличить