Официальное опубликование правовых актов
ОФИЦИАЛЬНОЕ ОПУБЛИКОВАНИЕ
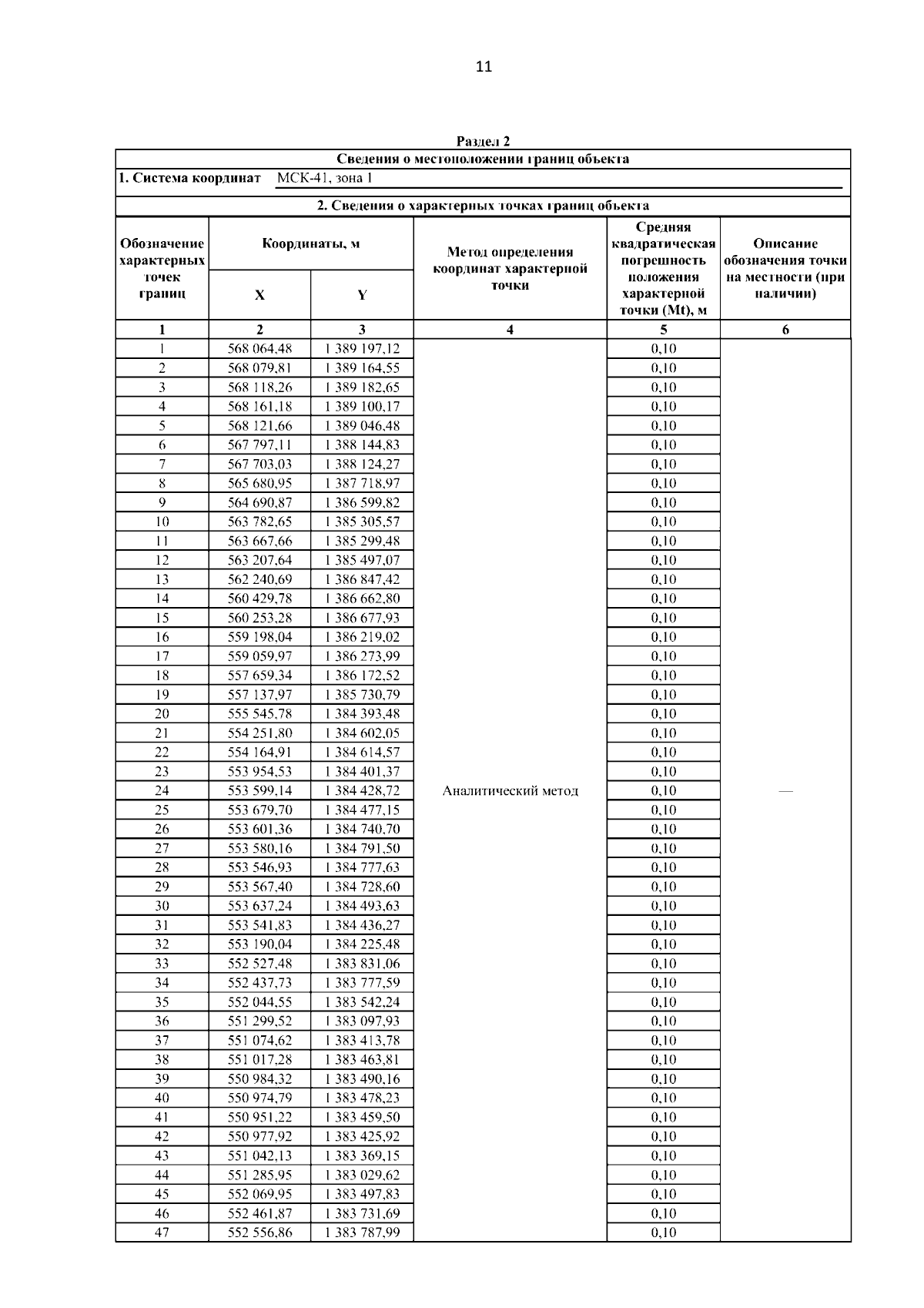
Приказ Министерства имущественных и земельных отношений Камчатского края от 14.02.2025 № 8-Н
"Об установлении публичного сервитута в целях эксплуатации объекта электросетевого хозяйства "Сооружение ВЛЭП 35 кВ на деревянных опорах протяженностью 25 км" c кадастровым номером 41:05:0000000:933"
(Зарегистрирован 14.02.2025 № 8-Н)
Номер опубликования: 4101202502180004
Дата опубликования: 18.02.2025
Страница №11 из 22:
Увеличить