Официальное опубликование правовых актов
ОФИЦИАЛЬНОЕ ОПУБЛИКОВАНИЕ
Приказ Министерства жилищно-коммунального хозяйства и энергетики Камчатского края от 18.02.2025 № 6-Н
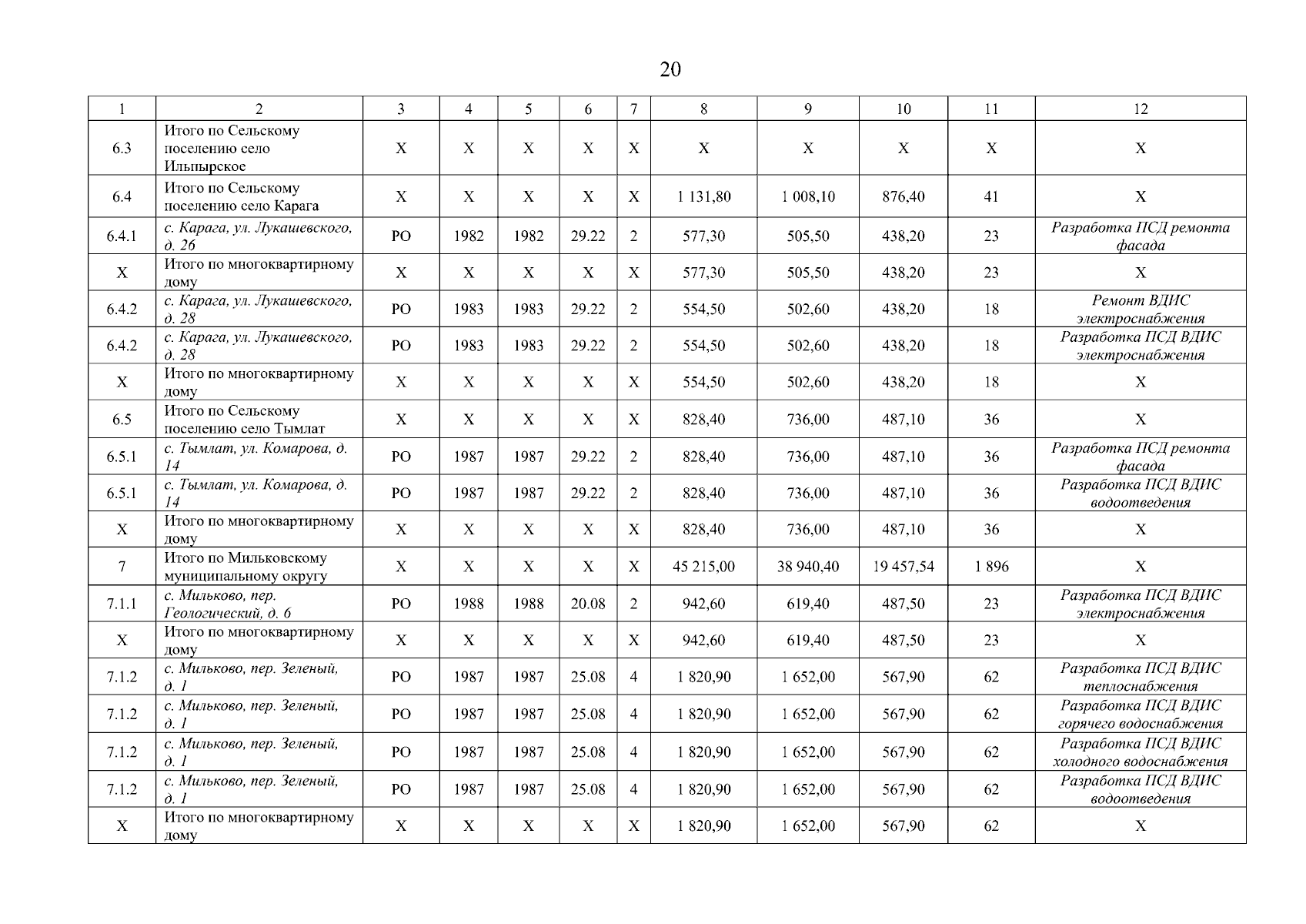
"О внесении изменений в приложения 1-2 к приказу Министерства жилищно-коммунального хозяйства и энергетики Камчатского края от 19.08.2022 № 20-304 "Об утверждении краткосрочного плана реализации региональной программы капитального ремонта общего имущества в многоквартирных домах в Камчатском крае на 2023 - 2025 годы"
(Зарегистрирован 18.02.2025 № 6-Н)
Номер опубликования: 4101202502180003
Дата опубликования: 18.02.2025
Страница №20 из 306:
Увеличить