Официальное опубликование правовых актов
ОФИЦИАЛЬНОЕ ОПУБЛИКОВАНИЕ
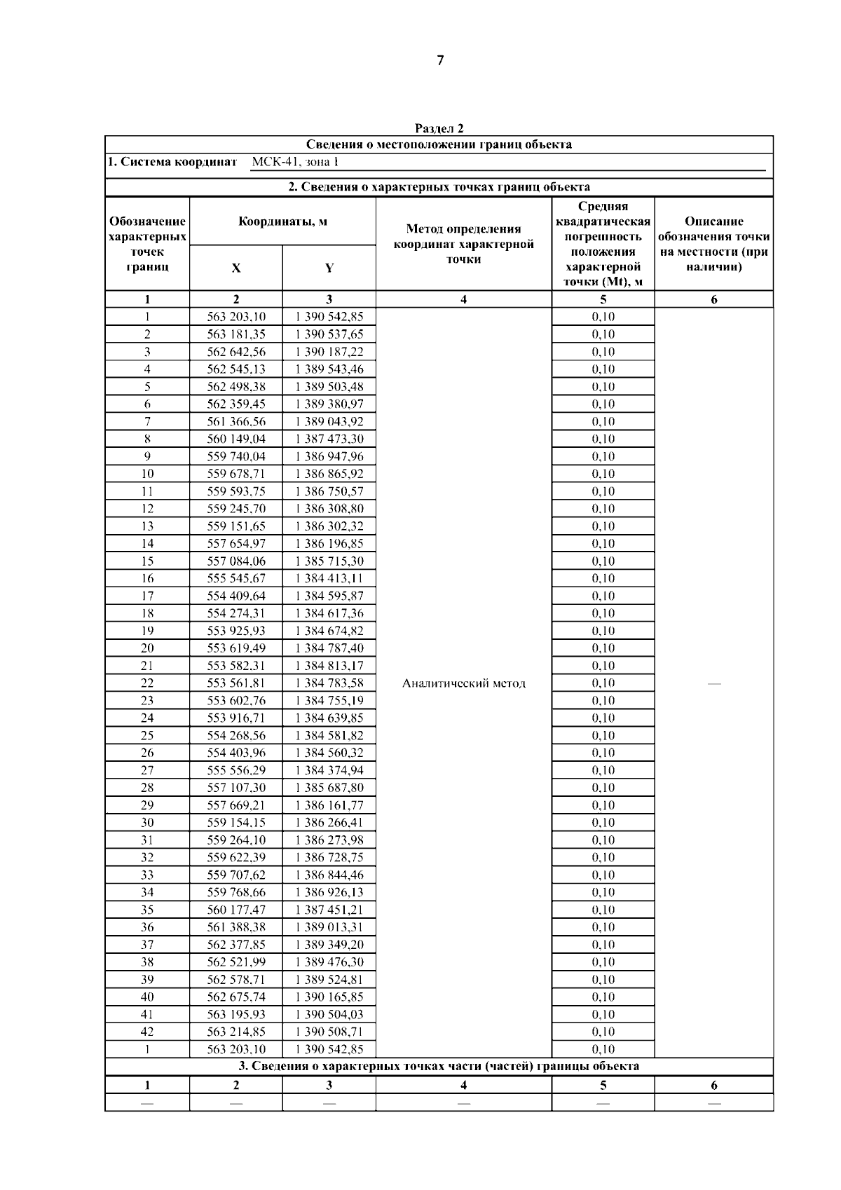
Приказ Министерства имущественных и земельных отношений Камчатского края от 14.02.2025 № 9-Н
"Об установлении публичного сервитута в целях эксплуатации объекта электросетевого хозяйства "Сооружение ВЛЭП 35 КВ на деревянных опорах" c кадастровым номером 41:05:0000000:922"
(Зарегистрирован 14.02.2025 № 9-Н)
Номер опубликования: 4101202502180001
Дата опубликования: 18.02.2025
Страница №7 из 13:
Увеличить