Официальное опубликование правовых актов
ОФИЦИАЛЬНОЕ ОПУБЛИКОВАНИЕ
Приказ Министерства жилищно-коммунального хозяйства и энергетики Камчатского края от 22.10.2024 № 26-Н
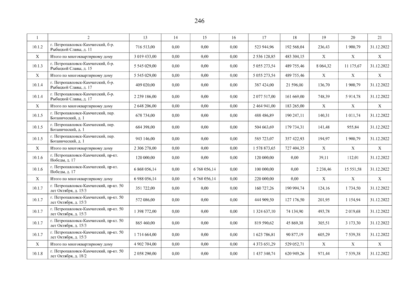
"О внесении изменений в приложения 1-2 к приказу Министерства жилищно-коммунального хозяйства и энергетики Камчатского края от 20.08.2019 № 592 "Об утверждении краткосрочного плана реализации региональной программы капитального ремонта общего имущества в многоквартирных домах в Камчатском крае на 2020-2022 годы"
(Зарегистрирован 22.10.2024 № 26-Н)
Номер опубликования: 4101202410230007
Дата опубликования: 23.10.2024
Страница №246 из 276:
Увеличить