Официальное опубликование правовых актов
ОФИЦИАЛЬНОЕ ОПУБЛИКОВАНИЕ
Приказ Министерства имущественных и земельных отношений Камчатского края от 30.05.2024 № 42-Н
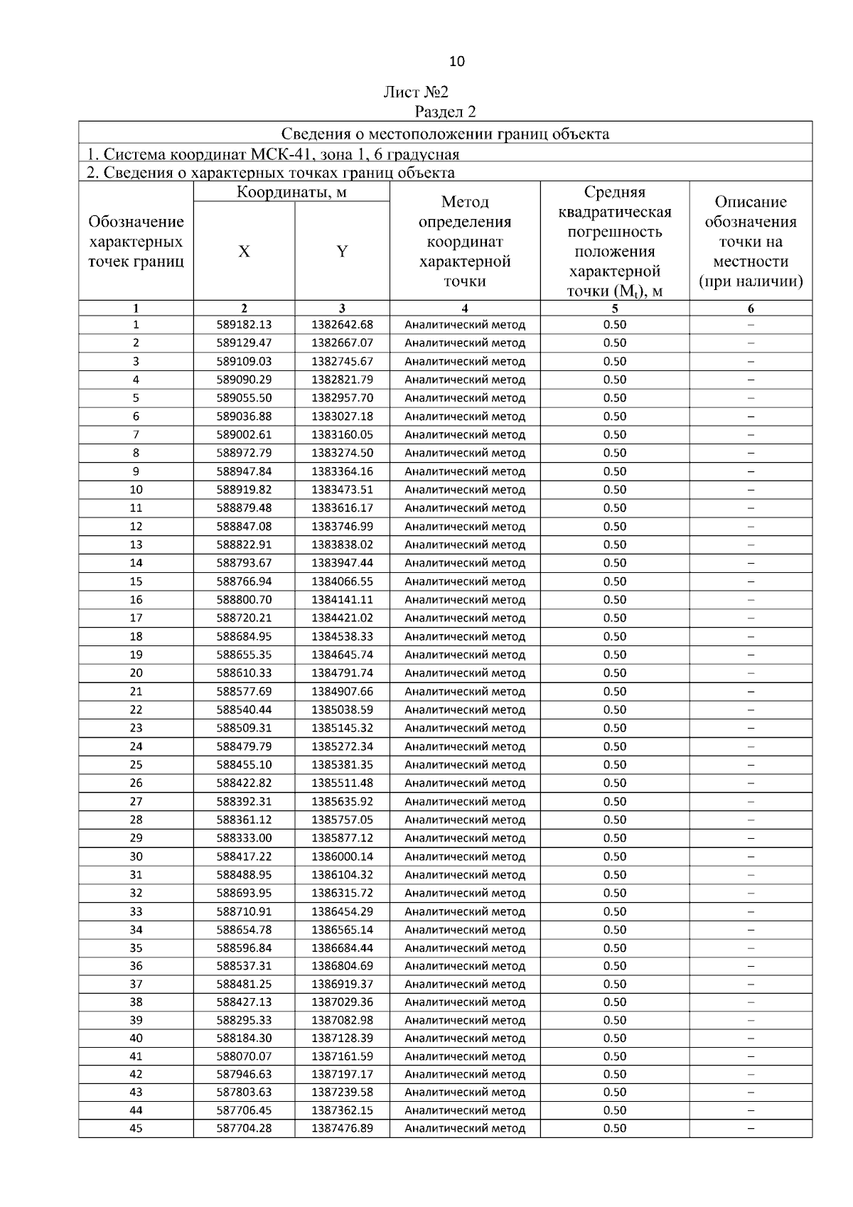
"Об установлении публичного сервитута в целях размещения объекта электросетевого хозяйства "Сооружение ВЛЭП 35 кв на металлических опорах" с кадастровым номером 41:05:0000000:851"
(Зарегистрирован 30.05.2024 № 42-Н)
Номер опубликования: 4101202405300012
Дата опубликования: 30.05.2024
Страница №10 из 43:
Увеличить