Официальное опубликование правовых актов
ОФИЦИАЛЬНОЕ ОПУБЛИКОВАНИЕ
Приказ Министерства имущественных и земельных отношений Камчатского края от 16.04.2024 № 32-Н
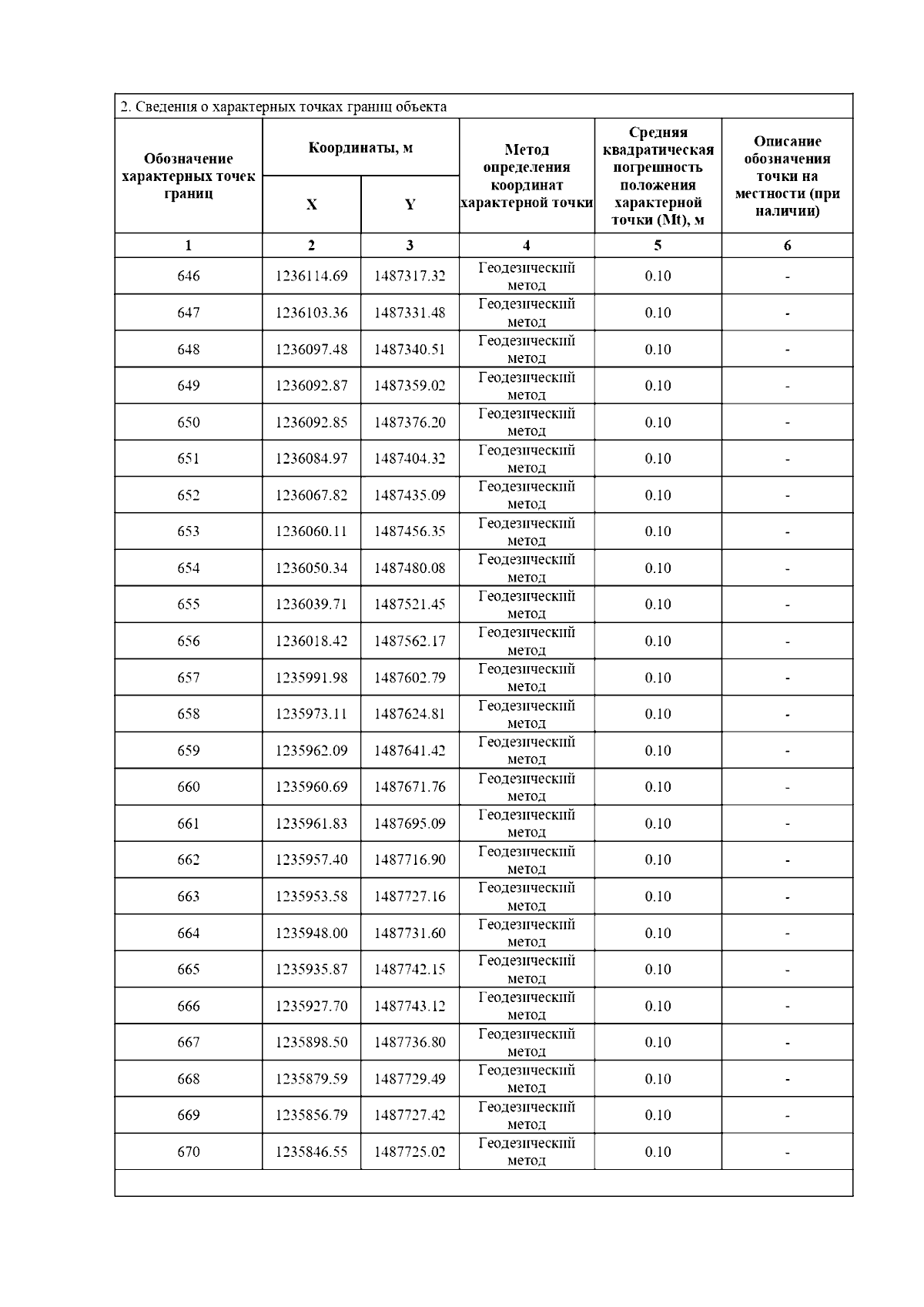
"О внесении изменений в приказ Министерства имущественных и земельных отношений Камчатского края от 15.01.2024 № 1-Н "Об установлении публичного сервитута в целях строительства линий и сооружений связи - волоконно-оптической линии связи (ВОЛС) "Тигиль-Воямполка-Палана"
(Зарегистрирован 16.04.2024 № 32-Н)
Номер опубликования: 4101202404170002
Дата опубликования: 17.04.2024
Страница №30 из 62:
Увеличить