Официальное опубликование правовых актов
ОФИЦИАЛЬНОЕ ОПУБЛИКОВАНИЕ
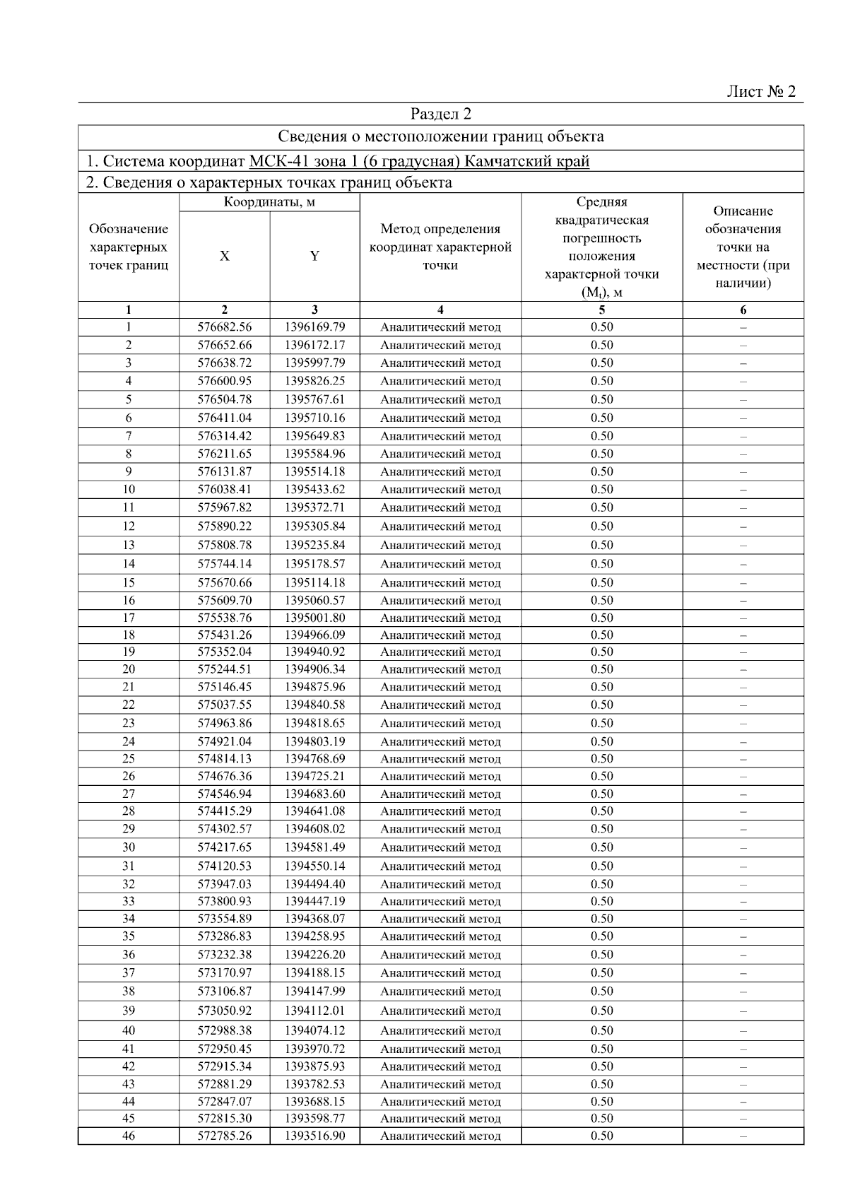
Приказ Министерства имущественных и земельных отношений Камчатского края от 19.02.2024 № 19-Н
"Об установлении публичного сервитута в целях размещения объекта электросетевого хозяйства "Сооружение ВЛЭП 35 КВ на деревянных опорах" c кадастровым номером 41:05:0000000:924"
(Зарегистрирован 19.02.2024 № 19-Н)
Номер опубликования: 4101202402210007
Дата опубликования: 21.02.2024
Страница №8 из 39:
Увеличить