Официальное опубликование правовых актов
ОФИЦИАЛЬНОЕ ОПУБЛИКОВАНИЕ
Приказ Министерства имущественных и земельных отношений Камчатского края от 15.01.2024 № 1-Н
"Об установлении публичного сервитута в целях строительства линий и сооружений связи – волоконно-оптической линии связи (ВОЛС) "Тигиль-Воямполка-Палана"
(Зарегистрирован 15.01.2024 № 1-Н)
Номер опубликования: 4101202401150005
Дата опубликования: 15.01.2024
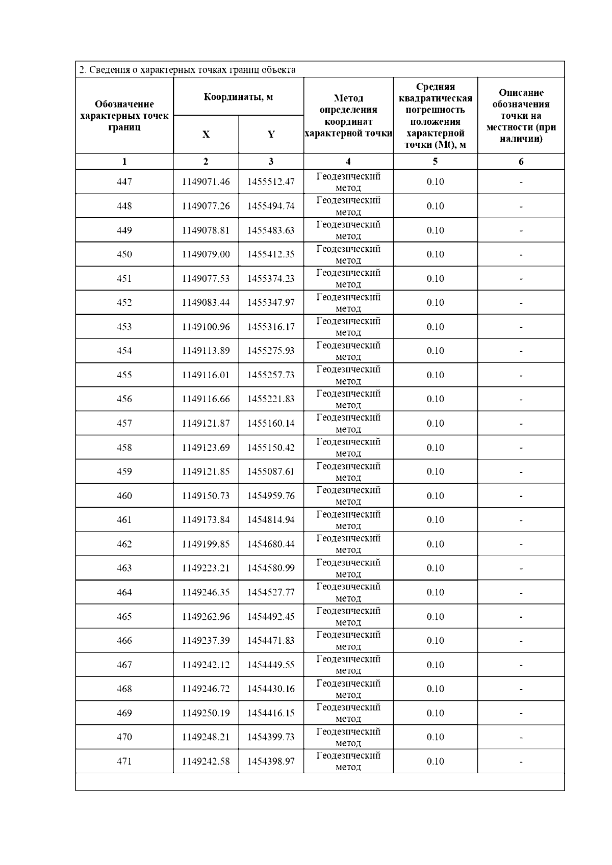
Страница №23 из 63:
Увеличить