Официальное опубликование правовых актов
ОФИЦИАЛЬНОЕ ОПУБЛИКОВАНИЕ
Приказ Министерства жилищно-коммунального хозяйства и энергетики Камчатского края от 31.05.2023 № 17-Н
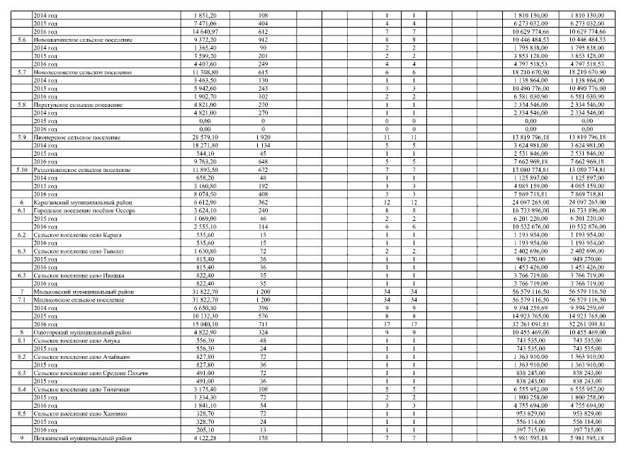
"О внесении изменений в приложения 1-3 к приказу Министерства жилищно-коммунального хозяйства и энергетики Камчатского края от 04.08.2014 № 476 "Об утверждении краткосрочного плана реализации региональной программы капитального ремонта общего имущества в многоквартирных домах в Камчатском крае на 2014-2016 годы"
(Зарегистрирован 31.05.2023 № 17-Н)
Номер опубликования: 4101202306020002
Дата опубликования: 02.06.2023
Страница №25 из 27:
Увеличить