Официальное опубликование правовых актов
ОФИЦИАЛЬНОЕ ОПУБЛИКОВАНИЕ
Приказ Министерства имущественных и земельных отношений Камчатского края от 21.10.2022 № П-37
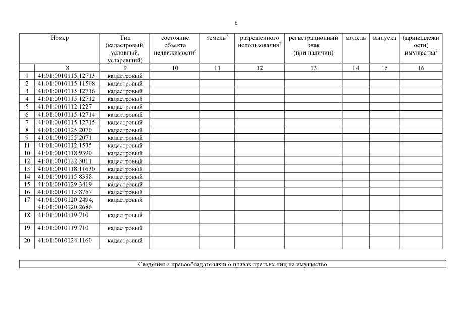
"О внесении изменений в приложение к приказу Министерства имущественных и земельных отношений Камчатского края от 16.04.2021 № 60/54 "Об утверждении перечня государственного имущества Камчатского края, свободного от прав третьих лиц (за исключением права хозяйственного ведения, права оперативного управления, а также имущественных прав субъектов малого и среднего предпринимательства), предназначенного для предоставления во владение и (или) в пользование на долгосрочной основе (в том числе по льготным ставкам арендной платы) субъектам малого и среднего предпринимательства и организациям, образующим инфраструктуру поддержки субъектов малого и среднего предпринимательства, а также физическим лицам, не являющимся индивидуальными предпринимателями и применяющим специальный налоговый режим "Налог на профессиональный доход"
Номер опубликования: 4101202210210007
Дата опубликования: 21.10.2022
Страница №6 из 8:
Увеличить