Постановление Региональной службы по тарифам и ценам Камчатского края от 22.04.2022 № 67
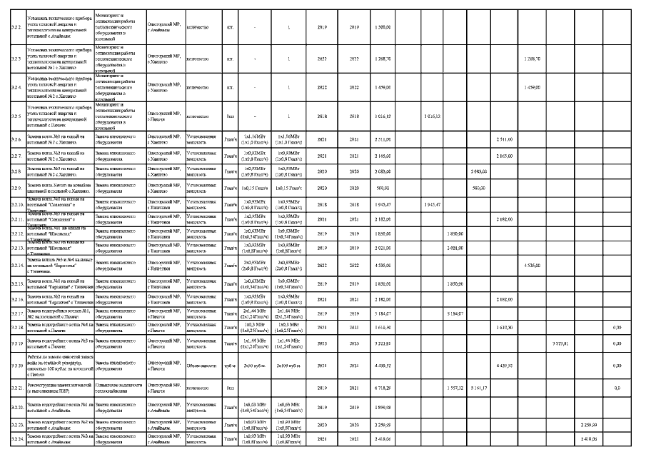
"О внесении изменений в приложение 2 к постановлению Региональной службы по тарифам и ценам Камчатского края от 23.10.2017 № 651 "Об утверждении инвестиционной программы АО "Корякэнерго" в сфере теплоснабжения в сельских поселениях "село Хаилино", "село Тиличики", "село Пахачи", "село Ачайваям" Олюторского района на 2018 - 2023 годы"
"О внесении изменений в приложение 2 к постановлению Региональной службы по тарифам и ценам Камчатского края от 23.10.2017 № 651 "Об утверждении инвестиционной программы АО "Корякэнерго" в сфере теплоснабжения в сельских поселениях "село Хаилино", "село Тиличики", "село Пахачи", "село Ачайваям" Олюторского района на 2018 - 2023 годы"
Номер опубликования: 4101202204270003
Дата опубликования:
27.04.2022
