Официальное опубликование правовых актов
ОФИЦИАЛЬНОЕ ОПУБЛИКОВАНИЕ
Приказ Министерства социального благополучия и семейной политики Камчатского края от 26.03.2021 № 450-п
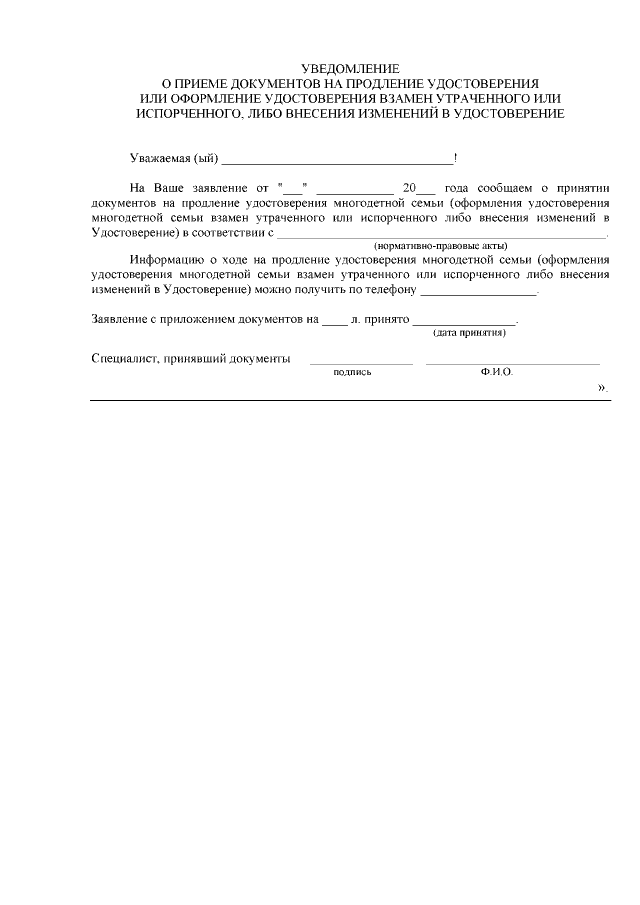
"Об утверждении формы удостоверения многодетной семьи в Камчатском края и Порядка продления срока действия удостоверения многодетной семьи, оформления удостоверения многодетной семьи взамен утраченного или испорченного, внесения изменений в удостоверение многодетной семьи, признания удостоверения многодетной семьи недействительным"
Номер опубликования: 4101202103290007
Дата опубликования: 29.03.2021
Страница №21 из 26:
Увеличить