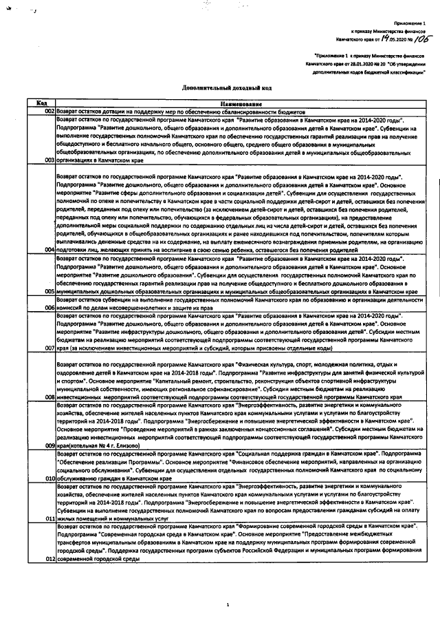
Приказ Министерства финансов Камчатского края от 14.05.2020 № 105
"О внесении изменений в приказ Министерства финансов Камчатского края от 28.01.2020 года № 20 "Об утверждении дополнительных кодов бюджетной классификации на 2020 год"
"О внесении изменений в приказ Министерства финансов Камчатского края от 28.01.2020 года № 20 "Об утверждении дополнительных кодов бюджетной классификации на 2020 год"
Номер опубликования: 4101202005140001
Дата опубликования:
14.05.2020
