Постановление Региональной службы по тарифам и ценам Камчатского края от 19.12.2019 № 425
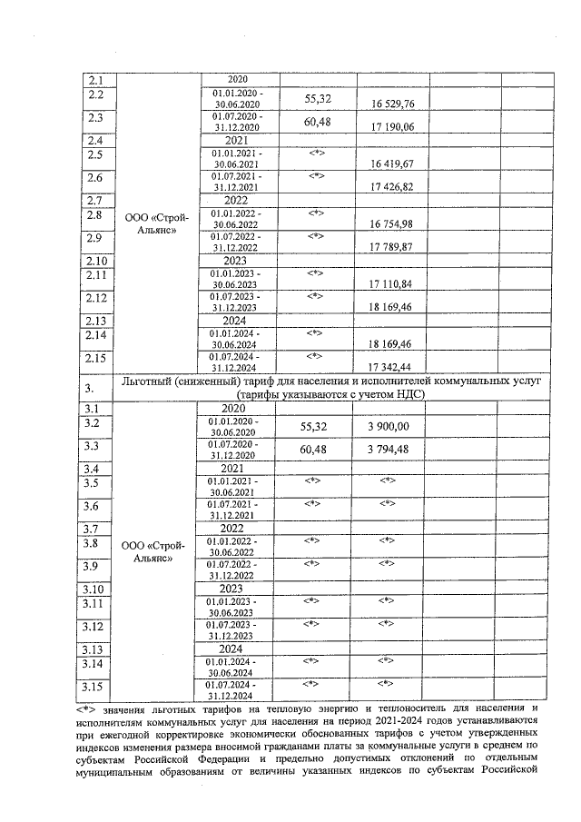
"О внесении изменений в приложения 4, 5 к постановлению Региональной службы по тарифам и ценам Камчатского края от 23.10.2019 № 209 "Об установлении тарифов в сфере теплоснабжения ООО "Строй-Альянс" потребителям на территории Усть-Камчатского сельского поселения Усть-Камчатского муниципального района Камчатского края, на 2020-2024 годы"
"О внесении изменений в приложения 4, 5 к постановлению Региональной службы по тарифам и ценам Камчатского края от 23.10.2019 № 209 "Об установлении тарифов в сфере теплоснабжения ООО "Строй-Альянс" потребителям на территории Усть-Камчатского сельского поселения Усть-Камчатского муниципального района Камчатского края, на 2020-2024 годы"
Номер опубликования: 4101201912200019
Дата опубликования:
20.12.2019
