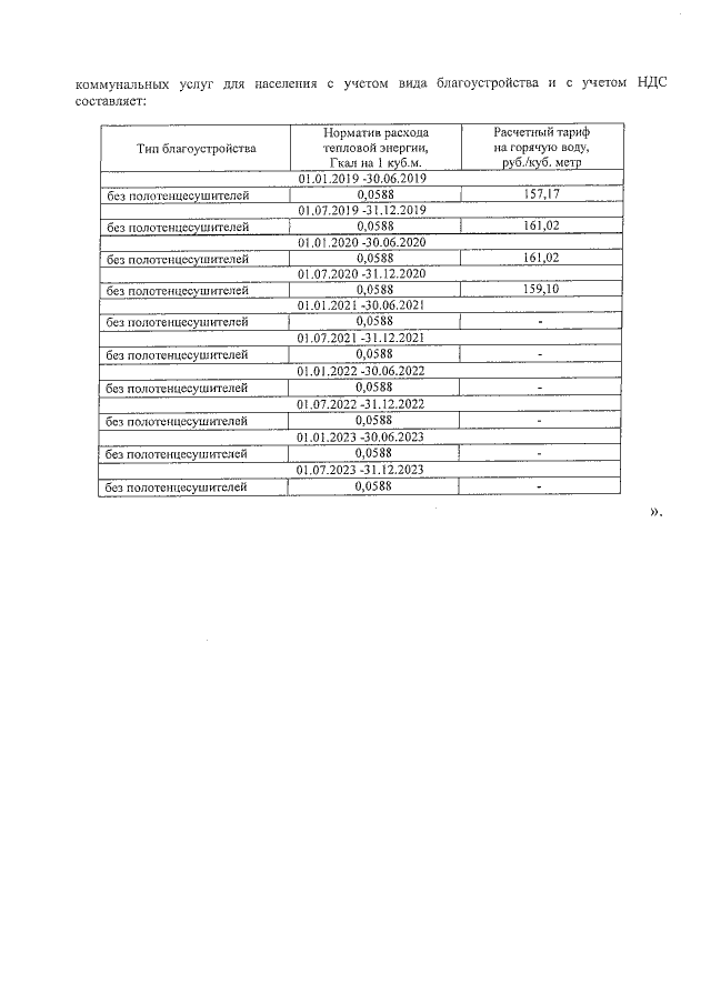
Постановление Региональной службы по тарифам и ценам Камчатского края от 18.12.2019 № 355
"О внесении изменений в приложения 2 - 5 к постановлению Региональной службы по тарифам и ценам Камчатского края от 18.12.2018 № 413 "Об утверждении тарифов в сфере теплоснабжения АО "Корякэнерго" на территории сельского поселения "село Тиличики" Олюторского муниципального района, на 2019 -2023 годы"
"О внесении изменений в приложения 2 - 5 к постановлению Региональной службы по тарифам и ценам Камчатского края от 18.12.2018 № 413 "Об утверждении тарифов в сфере теплоснабжения АО "Корякэнерго" на территории сельского поселения "село Тиличики" Олюторского муниципального района, на 2019 -2023 годы"
Номер опубликования: 4101201912190005
Дата опубликования:
19.12.2019
