Официальное опубликование правовых актов
ОФИЦИАЛЬНОЕ ОПУБЛИКОВАНИЕ
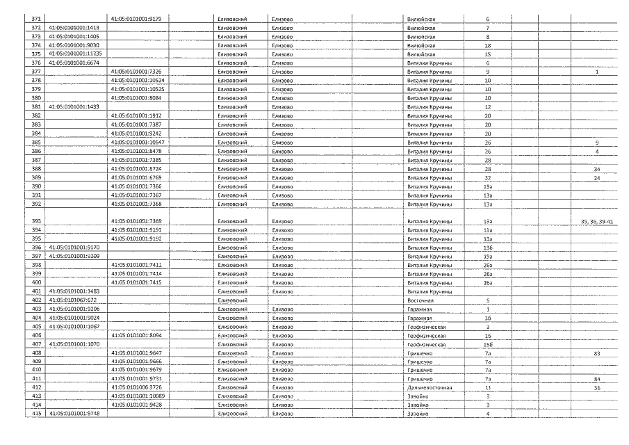
Приказ Министерства имущественных и земельных отношений Камчатского края от 05.12.2019 № 165
"Об определении перечня объектов недвижимого имущества, в отношении которых налоговая база определяется как кадастровая стоимость на 2020 год"
Номер опубликования: 4101201912100003
Дата опубликования: 10.12.2019
Страница №11 из 49:
Увеличить