Официальное опубликование правовых актов
ОФИЦИАЛЬНОЕ ОПУБЛИКОВАНИЕ
Постановление Региональной службы по тарифам и ценам Камчатского края от 04.12.2019 № 279
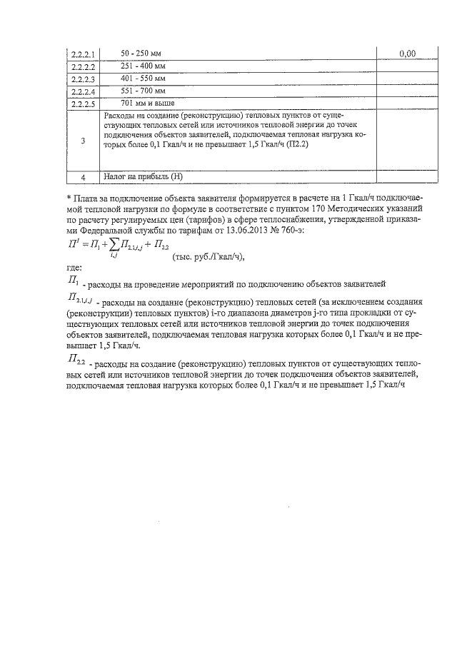
"Об утверждении платы за подключение (технологическое присоединение) к системе теплоснабжения АО "Камчатэнергосервис" объекта "Застройка мкр. Рыбачий, ЗАТО г. Вилючинск, Камчатский край. Жилой дом по ГП № 6 по ул. Крашенинникова, 5-ти этажный, 90 квартирный, монолитный жилой дом", подключаемая тепловая нагрузка которого более 0,1 Гкал/ч и не превышает 1,5 Гкал/ч, при отсутствии технической возможности подключения в индивидуальном порядке"
Номер опубликования: 4101201912060004
Дата опубликования: 06.12.2019
Страница №4 из 4:
Увеличить