Официальное опубликование правовых актов
ОФИЦИАЛЬНОЕ ОПУБЛИКОВАНИЕ
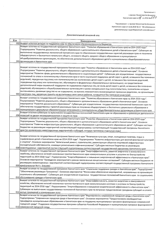
Приказ Министерства финансов Камчатского края от 08.11.2019 № 250
"О внесении изменений в приказ Министерства финансов Камчатского края от 13.02.2019 года № 23 "Об утверждении дополнительных кодов бюджетной классификации на 2019 год"
Номер опубликования: 4101201911120001
Дата опубликования: 12.11.2019
Страница №2 из 48:
Увеличить