Официальное опубликование правовых актов
ОФИЦИАЛЬНОЕ ОПУБЛИКОВАНИЕ
Приказ Министерства социального развития и труда Камчатского края от 03.07.2019 № 792-п
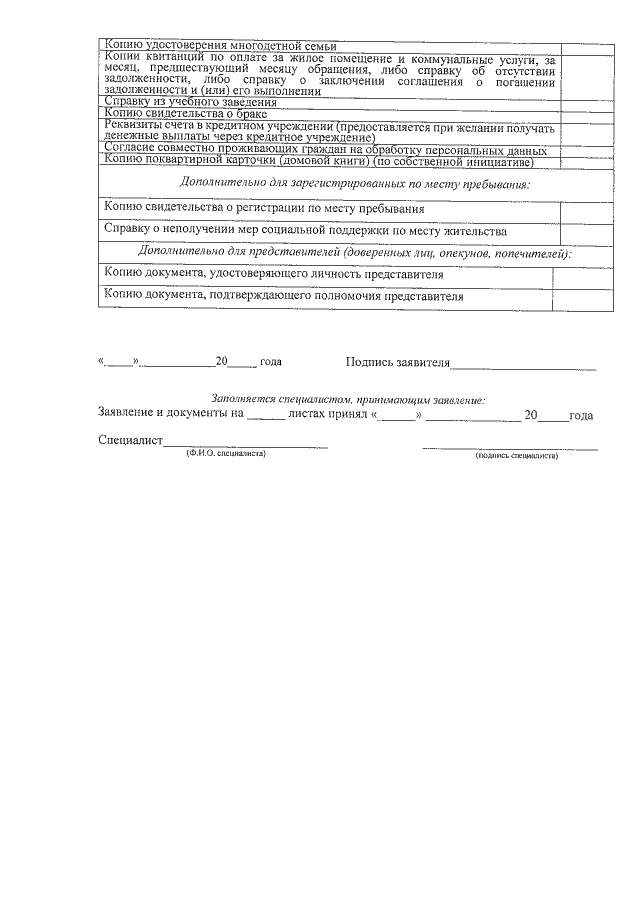
"О внесении изменений в приложения к приказу Министерства социального развития и труда Камчатского края от 11.03.2019 № 302-п "Об утверждении Порядка предоставления мер социальной поддержки по оплате жилых помещений и (или) коммунальных услуг отдельным категориям граждан, проживающим в Камчатском крае"
Номер опубликования: 4101201907050004
Дата опубликования: 05.07.2019
Страница №30 из 39:
Увеличить