Официальное опубликование правовых актов
ОФИЦИАЛЬНОЕ ОПУБЛИКОВАНИЕ
Приказ Агентства по занятости населения и миграционной политике Камчатского края от 23.05.2019 № 162
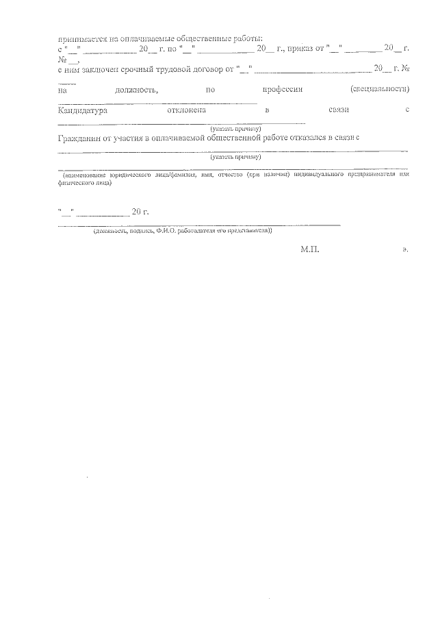
"О внесении изменений в приложение к приказу Агентства по занятости населения и миграционной политике Камчатского края от 19.07.2012 № 128 "Об утверждении Административного регламента предоставления государственной услуги по организации проведения оплачиваемых общественных работ"
Номер опубликования: 4101201905290013
Дата опубликования: 29.05.2019
Страница №7 из 7:
Увеличить