Официальное опубликование правовых актов
ОФИЦИАЛЬНОЕ ОПУБЛИКОВАНИЕ
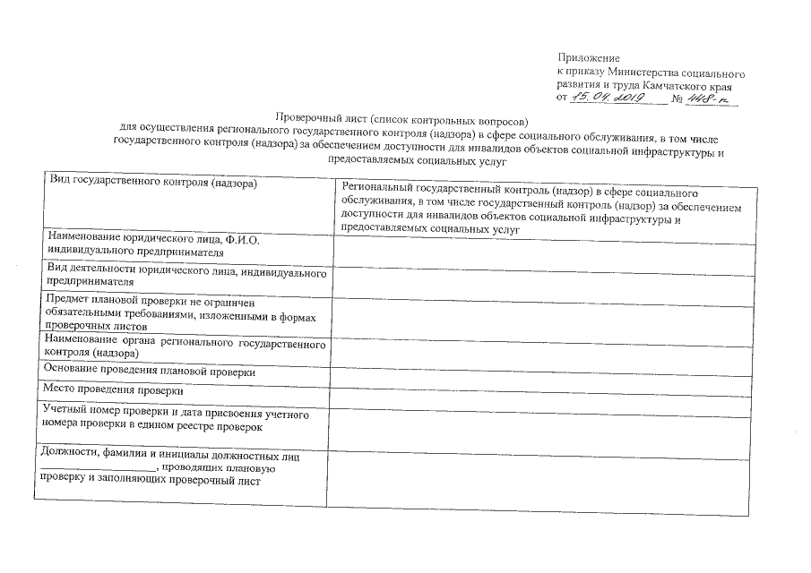
Приказ Министерства социального развития и труда Камчатского края от 15.04.2019 № 448-п
"Об утверждении формы проверочного листа (списка контрольных вопросов) для осуществления регионального государственного контроля (надзора) в сфере социального обслуживания, в том числе государственного контроля (надзора) за обеспечением доступности для инвалидов объектов социальной инфраструктуры и предоставляемых социальных услуг"
Номер опубликования: 4101201904190004
Дата опубликования: 19.04.2019
Страница №2 из 9:
Увеличить