Официальное опубликование правовых актов
ОФИЦИАЛЬНОЕ ОПУБЛИКОВАНИЕ
Приказ Министерства жилищно-коммунального хозяйства и энергетики Камчатского края от 19.02.2019 № 67
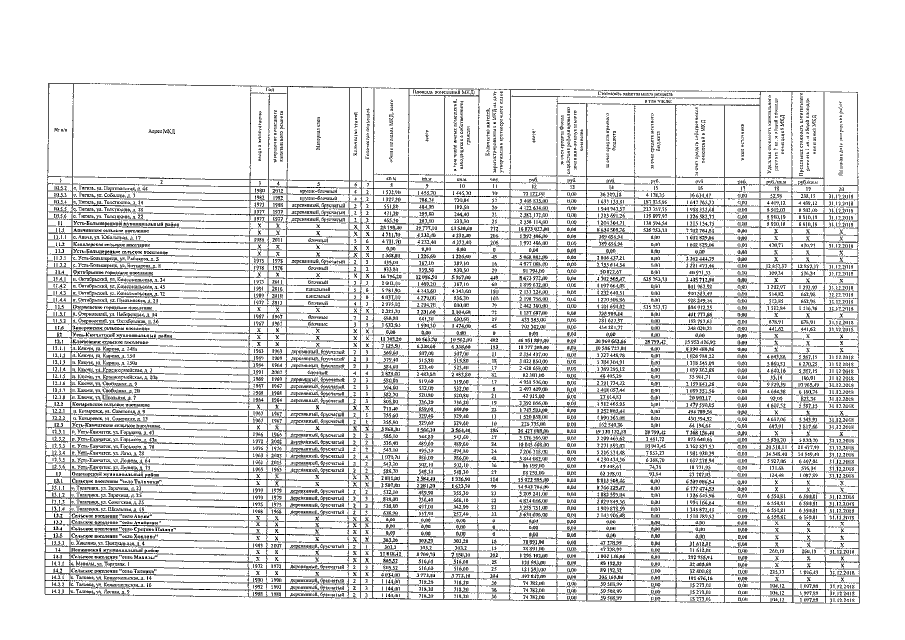
"О внесении изменений в приложения 1-3 к приказу Министерства жилищно-коммунального хозяйства и энергетики Камчатского края от 24.10.2016 № 636 "Об утверждении краткосрочного плана реализации региональной программы капитального ремонта общего имущества в многоквартирных домах в Камчатском крае на 2017-2019 годы"
Номер опубликования: 4101201902250007
Дата опубликования: 25.02.2019
Страница №13 из 39:
Увеличить