Официальное опубликование правовых актов
ОФИЦИАЛЬНОЕ ОПУБЛИКОВАНИЕ
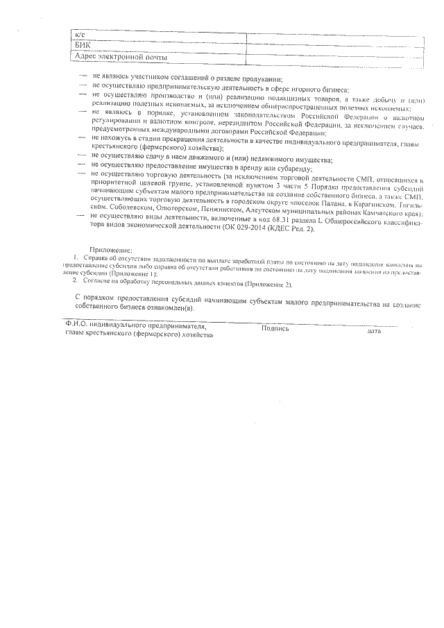
Приказ Агентства инвестиций и предпринимательства Камчатского края от 18.02.2019 № 37-п
"О внесении изменений в приложение к приказу Агентства инвестиций и предпринимательства Камчатского края от 30.07.2018 № 157-п "Об утверждении порядка предоставления субсидий начинающим субъектам малого предпринимательства на создание собственного бизнеса"
Номер опубликования: 4101201902190019
Дата опубликования: 19.02.2019
Страница №4 из 7:
Увеличить