Официальное опубликование правовых актов
ОФИЦИАЛЬНОЕ ОПУБЛИКОВАНИЕ
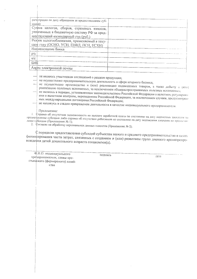
Приказ Агентства инвестиций и предпринимательства Камчатского края от 18.02.2019 № 31-п
"О внесении изменений в приложение к приказу Агентства инвестиций и предпринимательства Камчатского края от 14.03.2018 № 45-п "Об утверждении порядка предоставления субсидий субъектам малого и среднего предпринимательства в целях финансирования части затрат, связанных с созданием и (или) развитием групп дневного времяпрепровождения детей дошкольного возраста"
Номер опубликования: 4101201902190015
Дата опубликования: 19.02.2019
Страница №4 из 12:
Увеличить