Официальное опубликование правовых актов
ОФИЦИАЛЬНОЕ ОПУБЛИКОВАНИЕ
Приказ Инспекции государственного строительного надзора Камчатского края от 24.12.2018 № 533
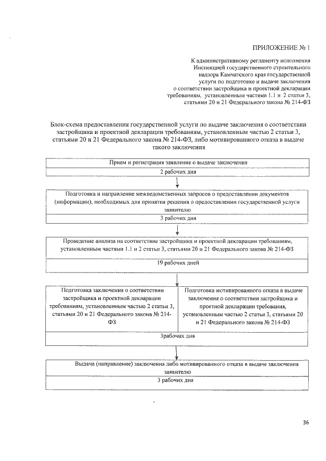
"Об утверждении Административного регламента предоставления Инспекцией государственного строительного надзора Камчатского края государственной услуги по подготовке и выдаче заключения о соответствии застройщика и проектной декларации требованиям, установленным частями 1.1 и 2 статьи 3, статьями 20 и 21 Федерального закона от 30 декабря 2004 № 214-ФЗ "Об участии в долевом строительстве многоквартирных домов и иных объектов недвижимости и о внесении изменений в некоторые законодательные акты Российской Федерации"
Номер опубликования: 4101201812280001
Дата опубликования: 28.12.2018
Страница №36 из 39:
Увеличить