Официальное опубликование правовых актов
ОФИЦИАЛЬНОЕ ОПУБЛИКОВАНИЕ
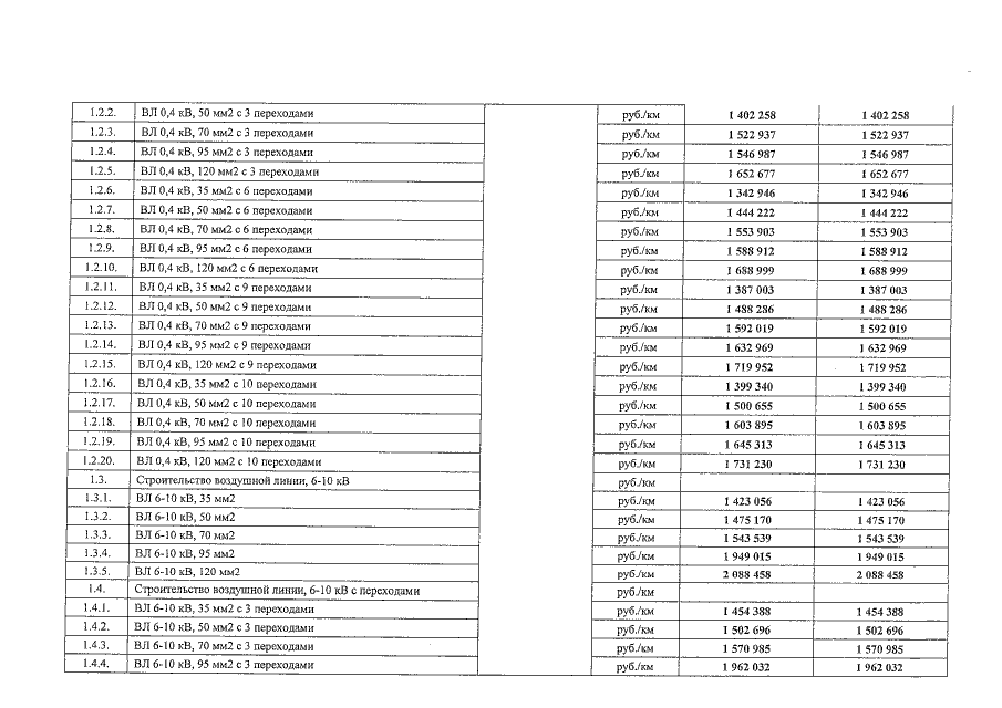
Постановление Региональной службы по тарифам и ценам Камчатского края от 13.12.2018 № 350
"Об установлении платы за технологическое присоединение к электрическим сетям для энергоснабжающих организаций Камчатского края на 2019 год"
Номер опубликования: 4101201812180018
Дата опубликования: 18.12.2018
Страница №7 из 17:
Увеличить