Официальное опубликование правовых актов
ОФИЦИАЛЬНОЕ ОПУБЛИКОВАНИЕ
Приказ Министерства природных ресурсов и экологии Камчатского края от 18.09.2018 № 184-П
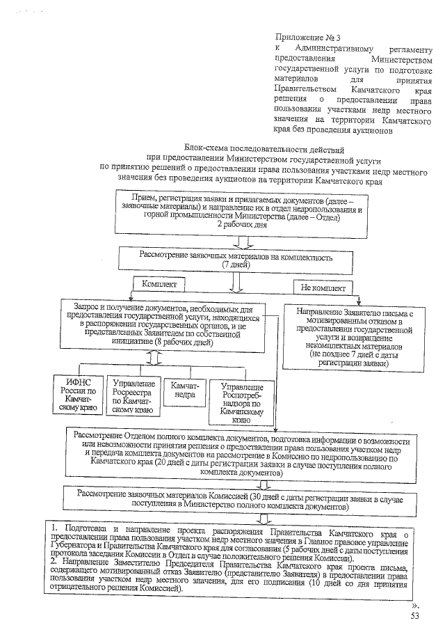
"О внесении изменения в приложение к приказу Министерства природных ресурсов и экологии Камчатского края от 21.07.2015 № 223-П "Об утверждении Административного регламента предоставления Министерством природных ресурсов и экологии Камчатского края государственной услуги по подготовке материалов для принятия решения Правительством Камчатского края о предоставлении права пользования участками недр местного значения на территории Камчатского края без проведения аукционов"
Номер опубликования: 4101201809190003
Дата опубликования: 19.09.2018
Страница №55 из 55:
Увеличить