Официальное опубликование правовых актов
ОФИЦИАЛЬНОЕ ОПУБЛИКОВАНИЕ
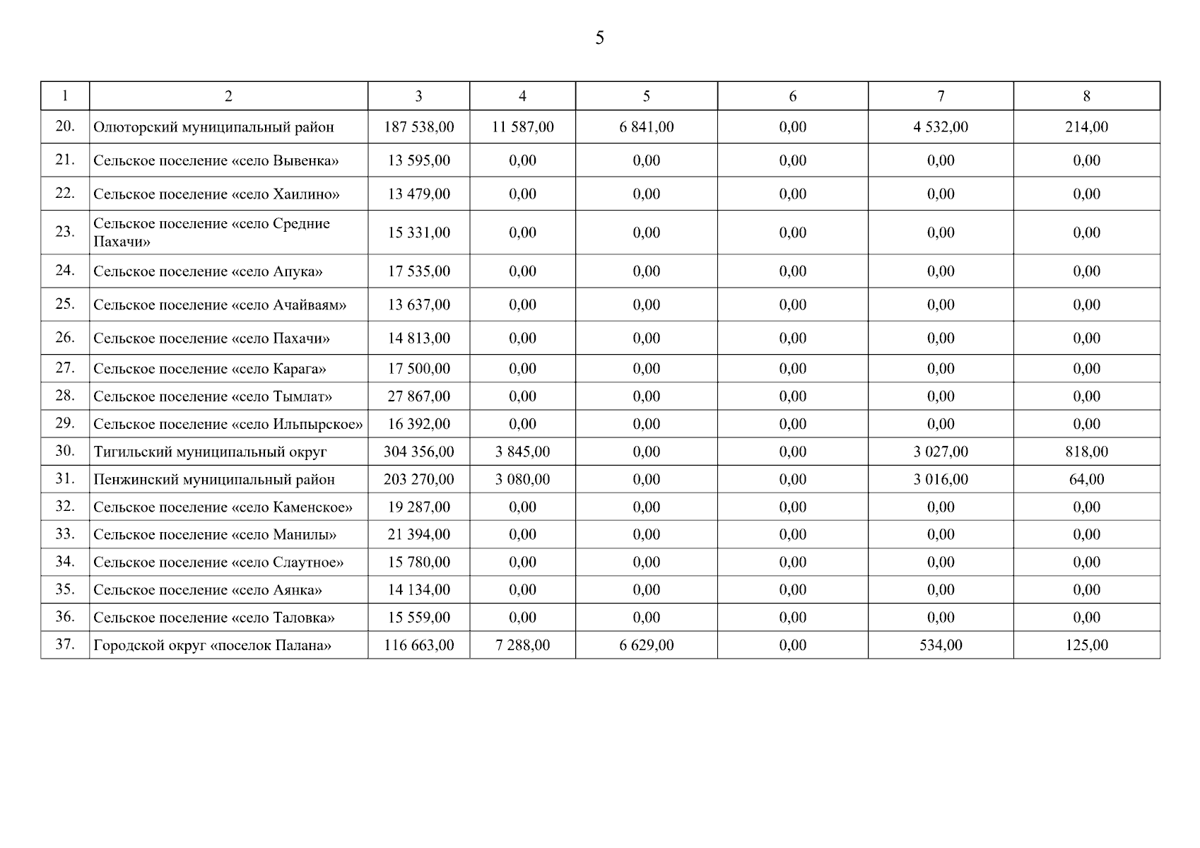
Постановление Правительства Камчатского края от 04.02.2026 № 38-П
"Об установлении нормативов формирования расходов на оплату труда депутатов, выборных должностных лиц местного самоуправления, осуществляющих свои полномочия на постоянной основе, муниципальных служащих и содержание органов местного самоуправления муниципальных образований в Камчатском крае на 2026 год"
Номер опубликования: 4100202602060006
Дата опубликования: 06.02.2026
Страница №5 из 11:
Увеличить