Официальное опубликование правовых актов
ОФИЦИАЛЬНОЕ ОПУБЛИКОВАНИЕ
Постановление Правительства Камчатского края от 23.01.2026 № 10-П
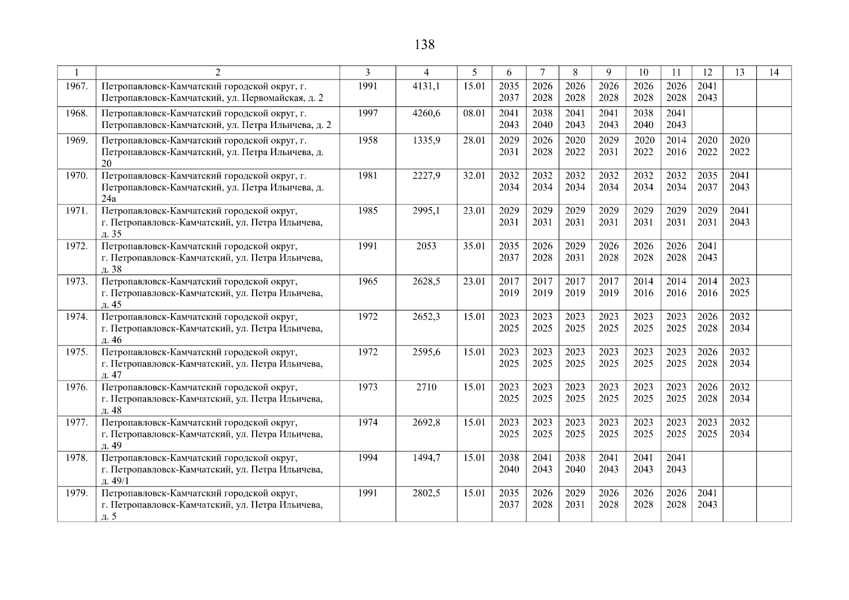
"О внесении изменения в раздел 2 приложения к постановлению Правительства Камчатского края от 12.02.2014 № 74-П "Об утверждении региональной программы капитального ремонта общего имущества в многоквартирных домах в Камчатском крае на 2014–2055 годы"
Номер опубликования: 4100202601230003
Дата опубликования: 23.01.2026
Страница №138 из 182:
Увеличить