Официальное опубликование правовых актов
ОФИЦИАЛЬНОЕ ОПУБЛИКОВАНИЕ
Постановление Правительства Камчатского края от 14.10.2025 № 434-П
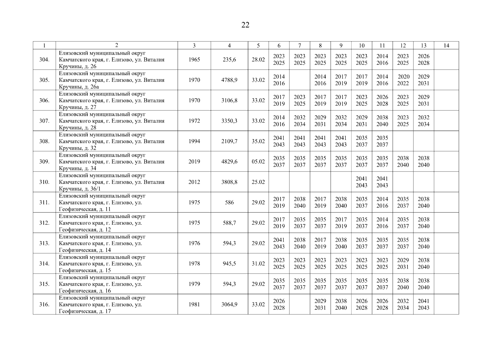
"О внесении изменения в раздел 2 приложения к постановлению Правительства Камчатского края от 12.02.2014 № 74-П "Об утверждении региональной программы капитального ремонта общего имущества в многоквартирных домах в Камчатском крае на 2014–2055 годы"
Номер опубликования: 4100202510160005
Дата опубликования: 16.10.2025
Страница №22 из 201:
Увеличить