Официальное опубликование правовых актов
ОФИЦИАЛЬНОЕ ОПУБЛИКОВАНИЕ
Постановление Губернатора Камчатского края от 12.08.2025 № 26
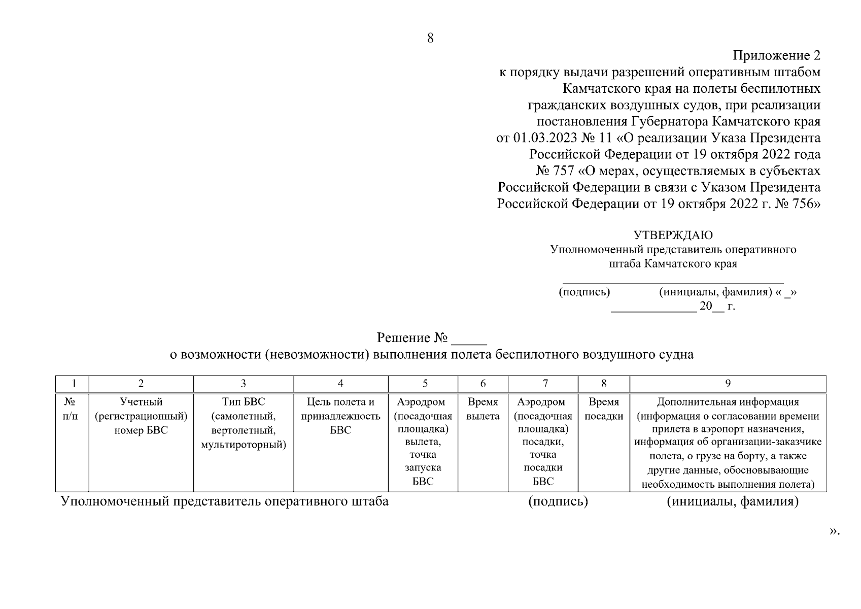
"О внесении изменений в постановление Губернатора Камчатского края от 01.03.2023 № 11 "О реализации Указа Президента Российской Федерации от 19 октября 2022 года № 757 "О мерах, осуществляемых в субъектах Российской Федерации в связи с Указом Президента Российской Федерации от 19 октября 2022 г. № 756"
Номер опубликования: 4100202508120002
Дата опубликования: 12.08.2025
Страница №8 из 8:
Увеличить