Официальное опубликование правовых актов
ОФИЦИАЛЬНОЕ ОПУБЛИКОВАНИЕ
Постановление Правительства Камчатского края от 24.07.2025 № 329-П
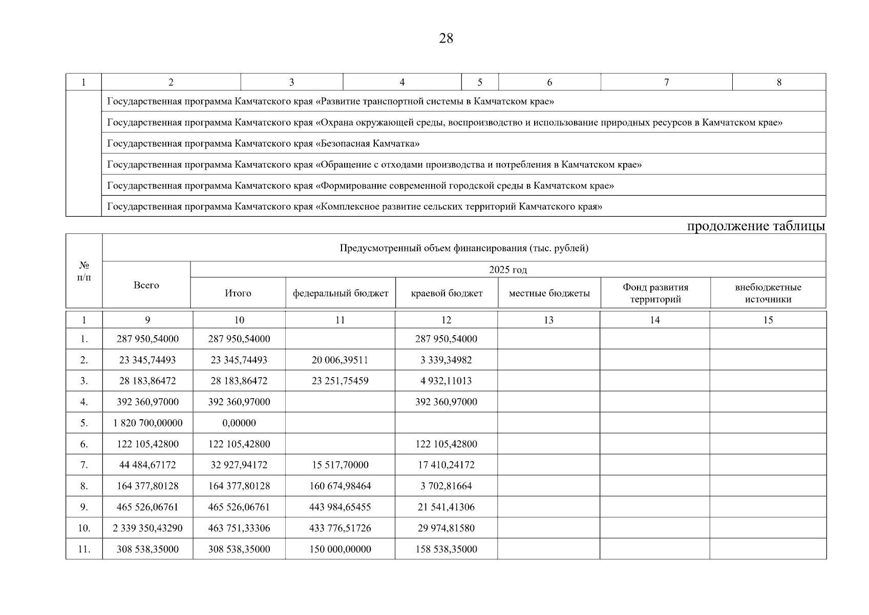
"О внесении изменения в приложение 1 к постановлению Правительства Камчатского края от 17.12.2024 № 617-П "Об утверждении инвестиционной программы Камчатского края на 2025 год, на плановый период 2026–2027 годов и прогнозный период 2028–2029 годов"
Номер опубликования: 4100202507250001
Дата опубликования: 25.07.2025
Страница №28 из 83:
Увеличить