Официальное опубликование правовых актов
ОФИЦИАЛЬНОЕ ОПУБЛИКОВАНИЕ
Постановление Правительства Камчатского края от 18.11.2024 № 551-П
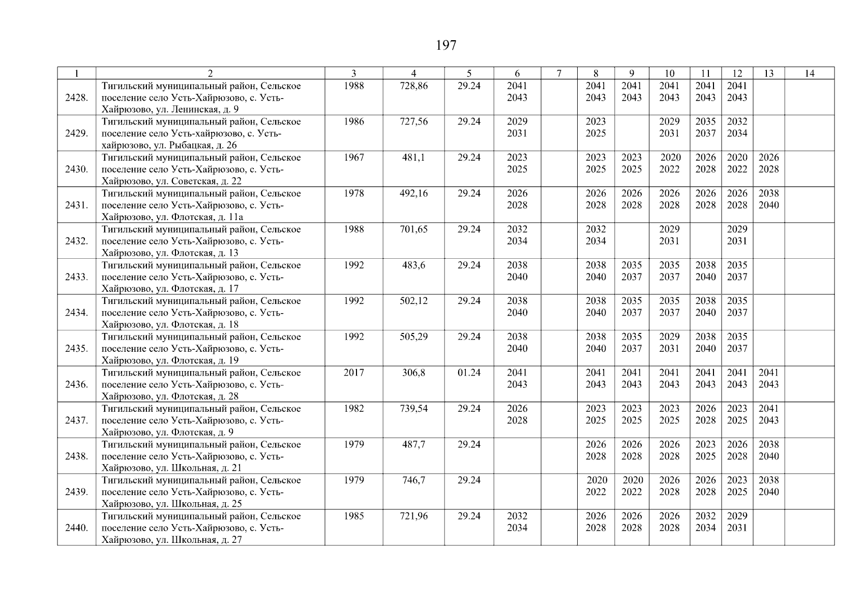
"О внесении изменений в постановление Правительства Камчатского края от 12.02.2014 № 74-П "Об утверждении региональной программы капитального ремонта общего имущества в многоквартирных домах в Камчатском крае на 2014–2046 годы"
Номер опубликования: 4100202411200009
Дата опубликования: 20.11.2024
Страница №197 из 214:
Увеличить