Официальное опубликование правовых актов
ОФИЦИАЛЬНОЕ ОПУБЛИКОВАНИЕ
Постановление Правительства Камчатского края от 10.06.2024 № 269-П
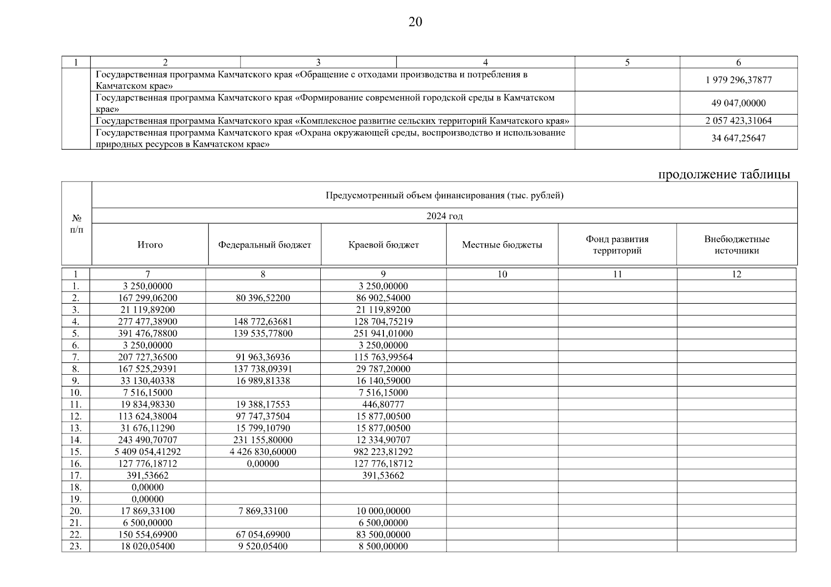
"О внесении изменения в приложение к постановлению Правительства Камчатского края от 23.11.2023 № 585-П "Об утверждении инвестиционной программы Камчатского края на 2024 год и на плановый период 2025–2026 годов и прогнозный период 2027–2028 годов"
Номер опубликования: 4100202406110005
Дата опубликования: 11.06.2024
Страница №20 из 61:
Увеличить