Официальное опубликование правовых актов
ОФИЦИАЛЬНОЕ ОПУБЛИКОВАНИЕ
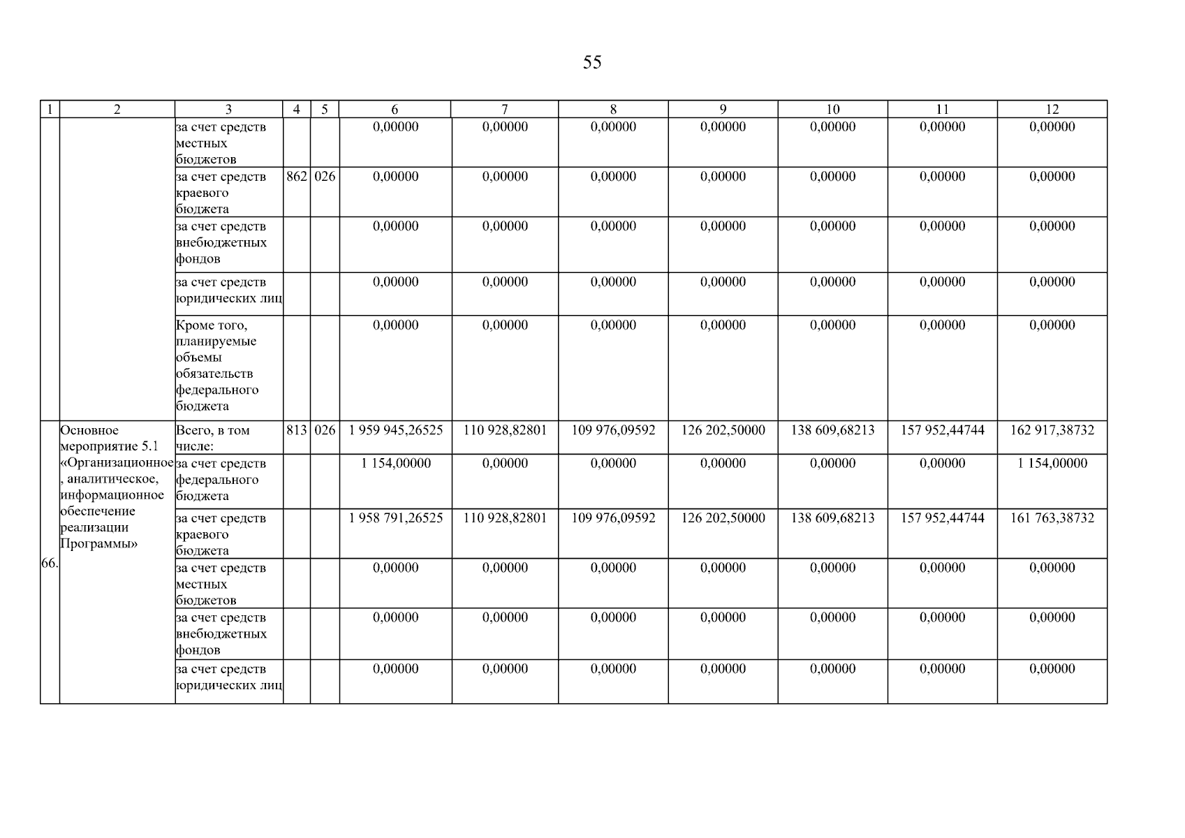
Постановление Правительства Камчатского края от 15.12.2023 № 631-П
"О внесении изменений в государственную программу Камчатского края "Развитие образования в Камчатском крае", утвержденную постановлением Правительства Камчатского края от 29.11.2013 № 532-П"
Номер опубликования: 4100202312150006
Дата опубликования: 15.12.2023
Страница №55 из 111:
Увеличить