Официальное опубликование правовых актов
ОФИЦИАЛЬНОЕ ОПУБЛИКОВАНИЕ
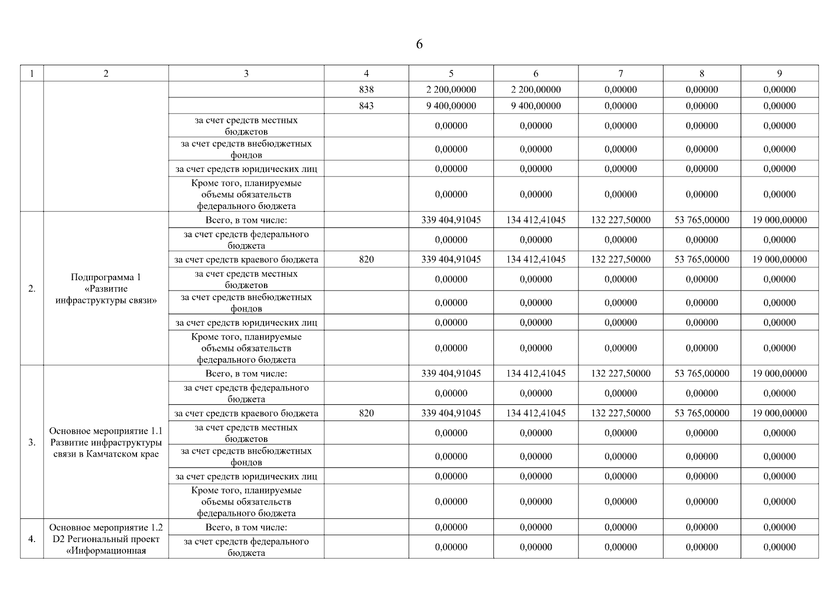
Постановление Правительства Камчатского края от 21.08.2023 № 440-П
"О внесении изменений в государственную программу Камчатского края "Цифровая трансформация в Камчатском крае", утвержденную постановлением Правительства Камчатского края от 23.12.2021 № 575-П"
Номер опубликования: 4100202308220001
Дата опубликования: 22.08.2023
Страница №6 из 19:
Увеличить