Официальное опубликование правовых актов
ОФИЦИАЛЬНОЕ ОПУБЛИКОВАНИЕ
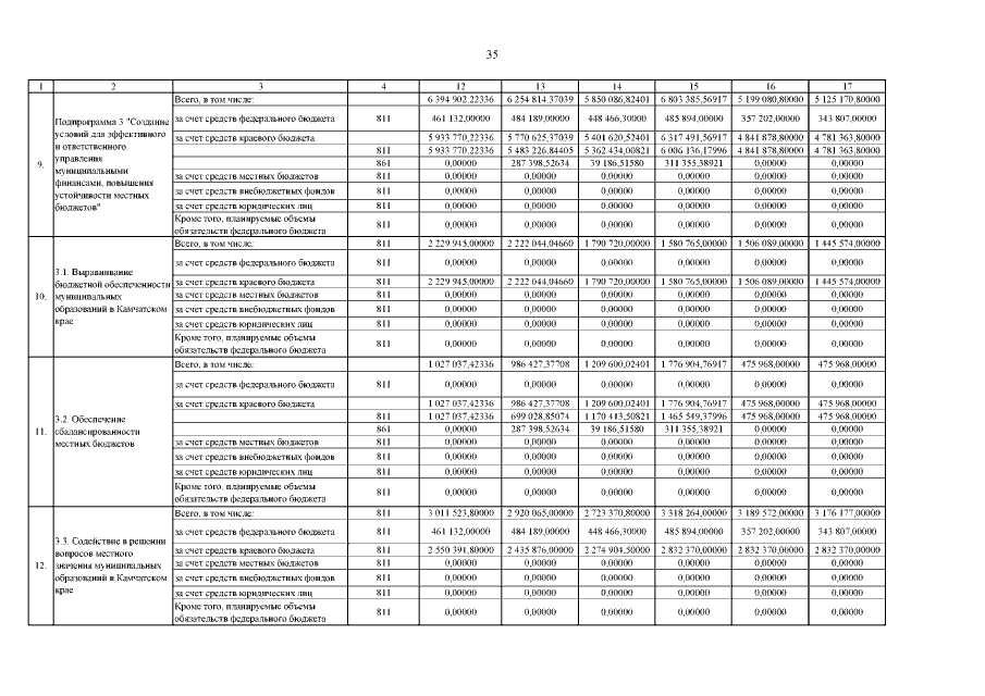
Постановление Правительства Камчатского края от 19.05.2023 № 280-П
"О внесении изменений в постановление Правительства Камчатского края от 22.11.2013 № 511-П "Об утверждении государственной программы Камчатского края "Управление государственными финансами Камчатского края"
Номер опубликования: 4100202305190008
Дата опубликования: 19.05.2023
Страница №35 из 37:
Увеличить