Официальное опубликование правовых актов
ОФИЦИАЛЬНОЕ ОПУБЛИКОВАНИЕ
Постановление Правительства Камчатского края от 06.09.2022 № 467-П
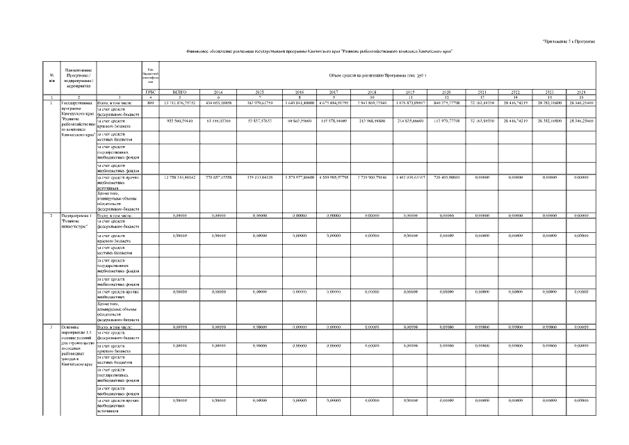
"О внесении изменений в государственную программу Камчатского края "Развитие рыбохозяйственного комплекса Камчатского края", утвержденную постановлением Правительства Камчатского края от 29.11.2013 № 533-П"
Номер опубликования: 4100202209080012
Дата опубликования: 08.09.2022
Страница №6 из 10:
Увеличить