Официальное опубликование правовых актов
ОФИЦИАЛЬНОЕ ОПУБЛИКОВАНИЕ
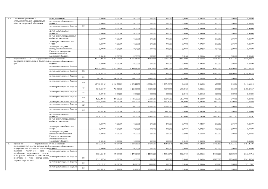
Постановление Правительства Камчатского края от 20.06.2022 № 327-П
"О внесении изменений в постановление Правительства Камчатского края от 14.11.2016 № 448-П "О Государственной программе Камчатского края "Безопасная Камчатка"
Номер опубликования: 4100202206200005
Дата опубликования: 20.06.2022
Страница №56 из 85:
Увеличить