Официальное опубликование правовых актов
ОФИЦИАЛЬНОЕ ОПУБЛИКОВАНИЕ
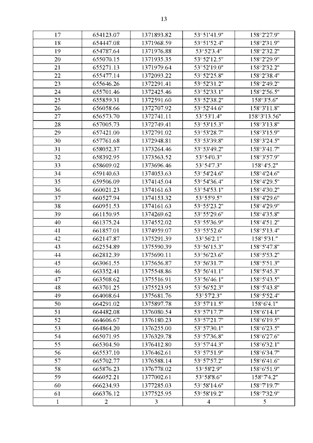
Постановление Правительства Камчатского края от 26.05.2022 № 266-П
"О государственном природном заказнике регионального значения "Тимоновский"
Номер опубликования: 4100202205260003
Дата опубликования: 26.05.2022
Страница №13 из 25:
Увеличить