Официальное опубликование правовых актов
ОФИЦИАЛЬНОЕ ОПУБЛИКОВАНИЕ
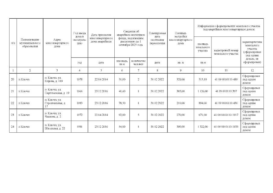
Постановление Правительства Камчатского края от 20.12.2021 № 557-П
"О внесении изменений в постановление Правительства Камчатского края от 22.11.2013 № 520-П "Об утверждении государственной программы Камчатского края "Обеспечение доступным и комфортным жильем жителей Камчатского края"
Номер опубликования: 4100202112210003
Дата опубликования: 21.12.2021
Страница №153 из 190:
Увеличить