Официальное опубликование правовых актов
ОФИЦИАЛЬНОЕ ОПУБЛИКОВАНИЕ
Постановление Правительства Камчатского края от 25.11.2021 № 500-П
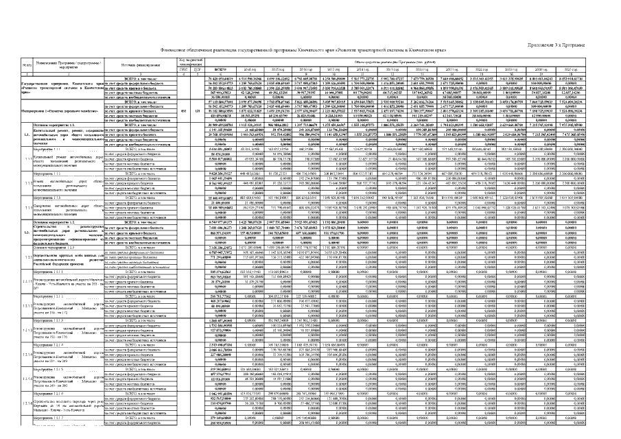
"О внесении изменений в постановление Правительства Камчатского края от 29.11.2013 № 551-П "О государственной программе Камчатского края "Развитие транспортной системы в Камчатском крае"
Номер опубликования: 4100202111250003
Дата опубликования: 25.11.2021
Страница №33 из 68:
Увеличить