Официальное опубликование правовых актов
ОФИЦИАЛЬНОЕ ОПУБЛИКОВАНИЕ
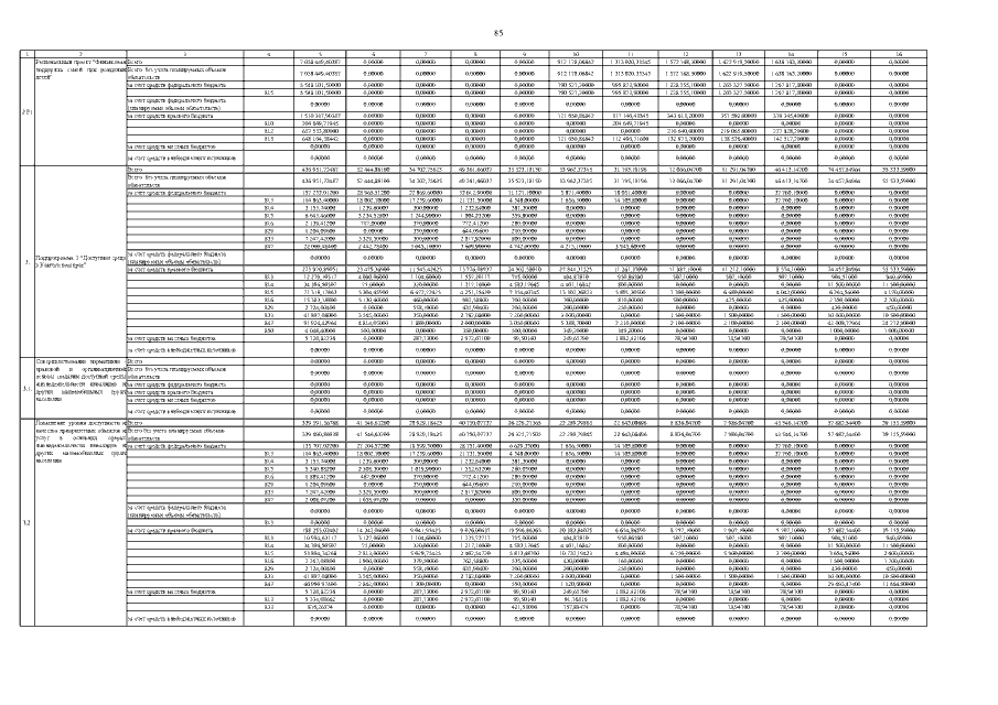
Постановление Правительства Камчатского края от 15.11.2021 № 473-П
"О внесении изменений в постановление Правительства Камчатского края от 29.11.2013 № 548-П "Об утверждении государственной программы Камчатского края "Социальная поддержка граждан в Камчатском крае"
Номер опубликования: 4100202111160001
Дата опубликования: 16.11.2021
Страница №85 из 96:
Увеличить