Официальное опубликование правовых актов
ОФИЦИАЛЬНОЕ ОПУБЛИКОВАНИЕ
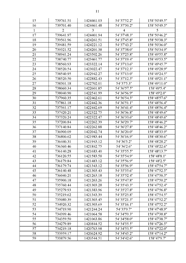
Постановление Правительства Камчатского края от 07.10.2021 № 427-П
"О государственном природном заказнике регионального значения "Бобровый"
Номер опубликования: 4100202110070001
Дата опубликования: 07.10.2021
Страница №11 из 23:
Увеличить