Официальное опубликование правовых актов
ОФИЦИАЛЬНОЕ ОПУБЛИКОВАНИЕ
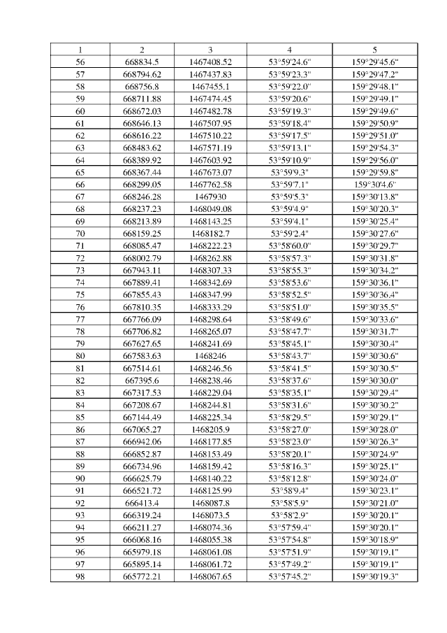
Постановление Правительства Камчатского края от 01.10.2021 № 418-П
"О внесении изменений в постановление Правительства Камчатского края от 25.08.2021 № 376-П "О памятнике природы регионального значения "Озеро Карымское"
Номер опубликования: 4100202110040003
Дата опубликования: 04.10.2021
Страница №11 из 16:
Увеличить