Официальное опубликование правовых актов
ОФИЦИАЛЬНОЕ ОПУБЛИКОВАНИЕ
Постановление Правительства Камчатского края от 01.10.2021 № 416-П
"О государственном природном заказнике регионального значения "Хламовитский"
Номер опубликования: 4100202110040002
Дата опубликования: 04.10.2021
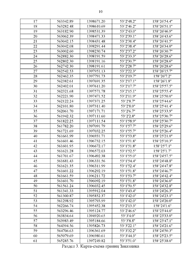
Страница №10 из 11:
Увеличить