Официальное опубликование правовых актов
ОФИЦИАЛЬНОЕ ОПУБЛИКОВАНИЕ
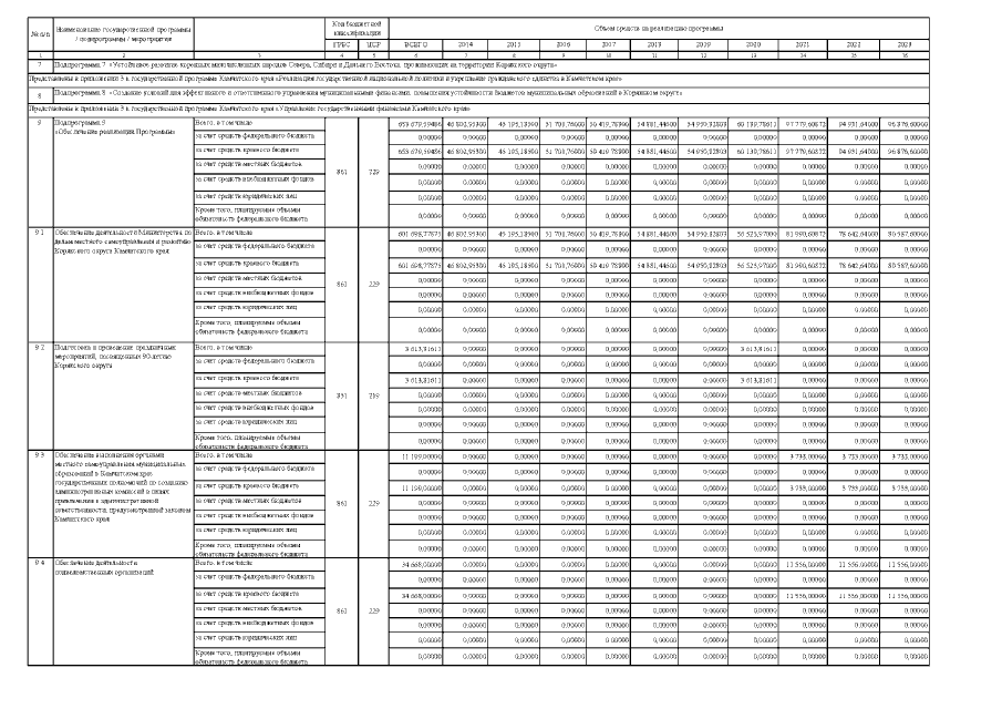
Постановление Правительства Камчатского края от 30.08.2021 № 390-П
"О внесении изменений в государственную программу Камчатского края "Социальное и экономическое развитие территории с особым статусом "Корякский округ", утвержденную постановлением Правительства Камчатского края от 05.02.2014 № 62-П"
Номер опубликования: 4100202108310008
Дата опубликования: 31.08.2021
Страница №6 из 7:
Увеличить