Официальное опубликование правовых актов
ОФИЦИАЛЬНОЕ ОПУБЛИКОВАНИЕ
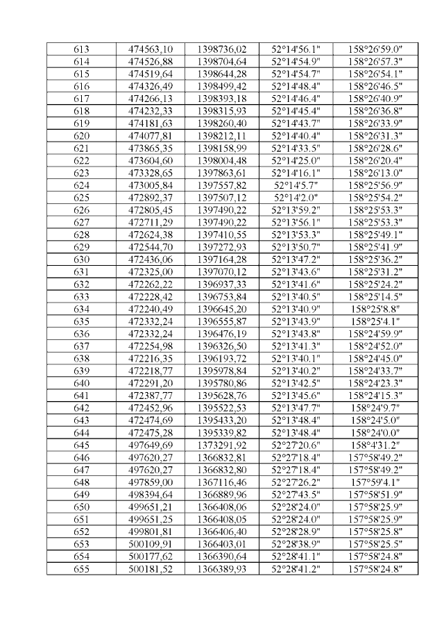
Постановление Правительства Камчатского края от 16.07.2021 № 311-П
"О природном парке регионального значения "Южно-Камчатский"
Номер опубликования: 4100202107220003
Дата опубликования: 22.07.2021
Страница №73 из 102:
Увеличить