Официальное опубликование правовых актов
ОФИЦИАЛЬНОЕ ОПУБЛИКОВАНИЕ
Постановление Правительства Камчатского края от 20.07.2021 № 316-П
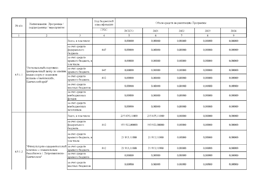
"О внесении изменения в приложение к постановлению Правительства Камчатского края от 29.11.2013 № 552-П "О государственной программе Камчатского края "Физическая культура, спорт, молодежная политика, отдых и оздоровление детей в Камчатском крае"
Номер опубликования: 4100202107210006
Дата опубликования: 21.07.2021
Страница №31 из 35:
Увеличить